Publication : 01/04/2024

Modification : 01/04/2024

Incidence carburant, comment ça fonctionne ?

Si vous utilisez un acteur du secteur du transport de marchandises, vous avez sans doute déjà entendu parler de l'incidence carburant ou indexation Gas-Oil.

Mais savez-vous comment cette dernière est calculée ou encore sur quelle base elle s'applique ?

Le récent conflit en Ukraine a fortement contribué à la prise de conscience des chargeurs quant à l'importance de cette indexation sur le coût des opérations de transport sur vente et sur achat.

Que dit la loi ?

Loi du 5 janvier 2006 :

Article 23 de la loi n° 2006-10 du 5 janvier 2006 relatif à la sécurité et au développement des transports.
II. - Lorsque le contrat de transport mentionne les charges de carburant retenues pour l'établissement du prix de l'opération de transport, le prix de transport initialement convenu est révisé de plein droit pour prendre en compte la variation des charges liée à la variation du coût du carburant entre la date du contrat et la date de réalisation de l'opération de transport. La facture fait apparaître les charges de carburant supportées par l'entreprise pour la réalisation de l'opération de transport.
III. - À défaut de stipulations contractuelles identifiant les charges de carburant dans les conditions définies au II, celles-ci sont déterminées, au jour de la commande de transport, par référence au prix du gazole publié par le Comité national routier et à la part des charges de carburant dans le prix du transport, telle qu'établie dans les indices synthétiques du Comité national routier.
Le prix du transport initialement convenu est révisé de plein droit en appliquant aux charges de carburant la variation de l'indice gazole publié par le Comité national routier sur la période allant de la date de la commande de l'opération de transport à sa date de réalisation. La facture fait apparaître les charges de carburant supportées par l'entreprise pour la réalisation de l'opération de transport.

La loi permet la répercussion de la charge carburant mais n’exclut pas une potentielle négociation entre les parties.

Elle s'applique dans la quasi intégralité des prestations de transport et normalement pas sur les frais annexes, c'est illégal.
Elle peut cependant prendre différentes formes notamment lors d'un transport dit "spot" et être intégrée directement dans le prix final.

Quels en sont les paramètres ?

Le calcul de la surcharge carburant et sa mise à jour vont dépendre de plusieurs critères à fixer en amont et qui doivent apparaître dans votre contrat, tarif ou conditions particulières.

Les éléments à déterminer sont :

  • L'indice carburant que l'on va suivre (généralement moyenne mensuelle à la pompe ou à la cuve) et sa date.

  • La valeur et la date de l'indice carburant de référence (base 100).

  • La part gazole relative au prix de revient dans le transport.

Toutes ces données sont facilement trouvables sur le site du Comité National Routier (CNR).
Lien : Site du CNR

Il existe 4 principaux indices :

  • L'indice CNR gazole professionnel

    L'indice CNR gazole professionnel suit l’évolution mensuelle du coût du gazole, utilisé comme carburant par les poids lourds de PTAC supérieur ou égal à 7,5 tonnes, effectuant du transport routier de marchandises, hors TVA.
  • L'indice CNR gazole hors TVA

    L'indice CNR gazole hors TVA suit l’évolution mensuelle du coût du gazole utilisé comme carburant hors TVA, tenant compte des différents modes d'approvisionnement, excluant le remboursement partiel de la TICPE / base 100 = décembre 2000.
  • L'indice prix CNR gazole pompe moyenne mensuelle

    Prix du gazole à la pompe, hors TVA, moyenne mensuelle, en euros par litre. Source : Direction Générale de l’Energie et du Climat (DGEC).
    Le prix du gazole à la pompe, hors TVA, moyenne mensuelle est disponible en ligne l’avant-dernier jour du mois courant (hors dimanche et hors jour férié) à 0 heure. Il inclut les relevés hebdomadaires de prix du gazole à la pompe (source DGEC) effectivement disponibles à la date de publication.
  • L'indice prix CNR gazole cuve moyenne mensuelle

    Prix des livraisons de gazole en cuve, hors TVA, moyenne mensuelle, France métropolitaine, selon enquête du CNR, expression en euros par litre.
    Le prix CNR gazole cuve moyenne mensuelle est disponible en ligne l’avant-dernier jour du mois courant (hors dimanche et hors jour férié) à 0 heure. Il inclut les relevés bimensuels des prix du gazole à la cuve (source CNR).

Pour la part relative au prix de revient du gazole dans le transport, le CNR donne plusieurs pondérations.

Longue distance EA du CNR Régionale EA du CNR Régionale porteurs du CNR
25.20% 23.50% 18.50%

Ce taux peut également être négocié entre les parties.

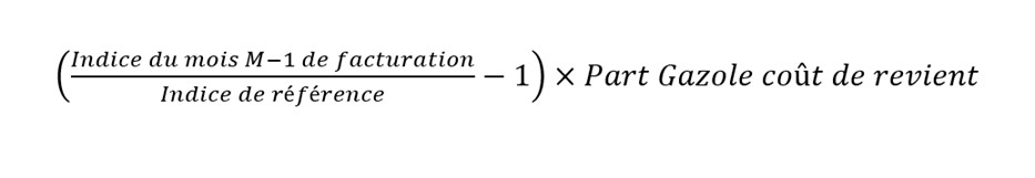
Calcul de l'indexation Gas-Oil

Deux possibilités :

Soit votre prestataire possède déjà une formule ou un tableau d'indexation carburant.

Soit il n'existe ni formule, ni tableau ou bien il manque des éléments pour le calcul et c'est alors la formule d'indexation de référence du CNR.

Dans ce cas, on utilisera la formule suivante :

formule

Ou bien, par exemple, quand le mois précédent sert à déterminer le mois en cours :

formule

Si vous souhaitez simuler très simplement votre pourcentage carburant en fonction de plusieurs critères, n'hésitez pas à utiliser nos outils :
Nos Outils

À ce stade, vous l'aurez certainement compris, plus le rapport entre l'indice du mois et l'indice de référence est élevé, plus le taux sera haut et réciproquement.
Généralement, les indices gazole les plus anciens, par exemple de 2000 à 2007, auront pour effet de maintenir votre niveau d'incidence carburant assez haut.

Idem, la part gazole dans le prix de revient a son importance, même si elle est moins sujette à discussion étant donné qu'elle correspond à un type de transport.

N'hésitez pas à nous contacter si vous avez des questions ou des demandes, nous nous ferons un plaisir de vous répondre et pourquoi pas de vous aider dans vos démarches ou négociations.

Sources : dashdoc.com/fr/articles/6046253-l-indexation-carburant